European Journal of Chemistry

Synthesis, structure characterization and biological evaluation of new 6,8-dichloro-2-methyl-4H-chromen-4-one derivatives



Main Article Content

Marwa Sayed Salem
Magda Ismail Marzouk
Salma Nasser Ali
Hassan Mohamed Fawzy Madkour

Abstract

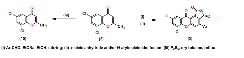
The typical active methyl functionality of 6,8-dichloro-2-methyl-4H-chromen-4-one is utilized to obtain 2-styrylchromones, pyruvate ester and phthalide via reactions with aromatic carboxaldehydes, diethyl oxalate and phthalic anhydride respectively. The phthalide provides illustrative example to convert a heterocyclic compound to an aliphatic one via the effect of alcoholic sodium methoxide. Bromination and cycloaddition reactions of 2-styrylchromones afford vicinal dibromide and adducts respectively. This work presents to the art a typical example of heterocyclic systems transformations through the conversion of the starting chromone to coumarin under the influence of thionyl chloride followed by aqueous potassium hydroxide. Some heterocyclic systems like pyrazole, isoxazol and quinolinone are obtained from the target chromone by treatment with hydrazines, hydroxylamine hydrochloride and ammonium acetate respectively. Thiation of starting chromone interestingly affords a dithiated product instead of the expected monothiated one. Antibacterial and antifungal activities of some synthesized compounds have been screened.

3_2_220_227_800


icon graph This Abstract was viewed 3567 times | icon graph Article PDF downloaded 1684 times

How to Cite
(1)
Salem, M. S.; Marzouk, M. I.; Ali, S. N.; Madkour, H. M. F. Synthesis, Structure Characterization and Biological Evaluation of New 6,8-Dichloro-2-Methyl-4H-Chromen-4-One Derivatives. Eur. J. Chem. 2012, 3, 220-227.

Article Details

Share
Crossref - Scopus - Google - European PMC
References

[1]. Huang, W.; Ding, Y.; Miao, Y.; Liu, M. Z.; Li Y.; Yang, G. F. Eur. J. Med. Chem. 2009, 44, 3687-3696.
http://dx.doi.org/10.1016/j.ejmech.2009.04.004
PMid:19410339

[2]. Lee, K. Y.; Nam, D. H.; Moon, C. S.; Seo, S. H.; Lee, J. Y.; Lee, Y. S. Eur. J. Med. Chem. 2006, 41, 991-996.
http://dx.doi.org/10.1016/j.ejmech.2006.04.008
PMid:16762460

[3]. McClure, J. W.; Harborne, J. B.; Mabry, T. J.; Mabry, H. The Flavonoids, Eds.; Chapman and Hall: London, 1975, pp. 970-1055.

[4]. Gamal, E. A. M.; Djemgou, P. C.; Tchuendem, M.; Ngadjui, B. T.; Tane, P.; Toshifumi, H. Z. Naturforsch. 2007, 62c, 331-338.

[5]. Valenti, P.; Bisi, A.; Rampa, A.; Belluti, F.; Gobbi, S.; Zampiron, A.; Carrara, M. Biorg. Med. Chem. 2000, 8, 239-246.
http://dx.doi.org/10.1016/S0968-0896(99)00282-5

[6]. Lim, L. -C.; Kuo, Y. -C.; Chou, C. -J. J. Nat. Prod. 2000, 63, 627-630.
http://dx.doi.org/10.1021/np990538m
PMid:10843573

[7]. Shi, Y. Q.; Fukai, T.; Sakagami, H.; Chang, W. -J.; Yang, P. -Q.; Wang, F. -P.; Nomura, T. J. Nat. Prod. 2001, 64, 181-188.
http://dx.doi.org/10.1021/np000317c
PMid:11429996

[8]. Atassi, G.; Briet, P.; Berthelon, J. P.; Collonges, F. J. Med. Chem. 1985, 20, 393-402.

[9]. Pietta, P. J. J. Nat. Prod. 2000, 63, 1035-1042.
http://dx.doi.org/10.1021/np9904509
PMid:10924197

[10]. Middleton, Jr. E.; Kandaswami, C.; Arborne, J. B. The Flavonoids Advances in Research since 1986 Eds.; Chapman and Hall: London, 1994, pp. 619.

[11]. Bruneton, J. Pharmacognosy, Phytochemistry and Medicinal Plants; English Translation by Hatton, C. K.; Lavoisier Publishing: Paris. 1995; pp. 265.

[12]. Albrecht, U.; Lalk, M.; Langer, P. Bioorg. Med. Chem. 2005, 13, 1531-1536.
http://dx.doi.org/10.1016/j.bmc.2004.12.031

[13]. Deng, Y.; Lee, J. P.; Ramamonjy, M. T.; Synder, J. K.; Des Etages, S. A.; Kanada, D.; Synder, M. P.; Turner, C. J. J. Nat. Prod. 2000, 63, 1082-1089.
http://dx.doi.org/10.1021/np000054m
PMid:10978202

[14]. Khan, I. A.; Avery, M. A.; Burandt, C. L.; Goins, D. K.; Mikell, J. R.; Nash, T. E.; Azadega, A.; Walker, L. A. J. Nat. Prod. 2000, 63, 1414.
http://dx.doi.org/10.1021/np000010d
PMid:11076565

[15]. Mori, K.; Audran, G.; Monti, H. Synlett. 1998, 259-260.
http://dx.doi.org/10.1055/s-1998-1628

[16]. Harborne, J. B.; Williams, C. A. Phytochemistry 2000, 55, 481-504.
http://dx.doi.org/10.1016/S0031-9422(00)00235-1

[17]. Djemgou, P. C.; Gatsing, D.; Kenmogne, M.; Ngamga, D.; Aliyu, R.; Adebayo, A. H.; Tane, P.; Ngadjui, B. T.; Seguin, E.; Adoga, G. I. Res. J. Med. Plant 2007, 1(2), 65-71.
http://dx.doi.org/10.3923/rjmp.2007.65.71

[18]. Diwakar, S. D.; Bhagwat, S. S.; Shingare, M. S.; Gill, C. H. Bioorg. Med. Chem. Lett. 2008, 18, 4678-4681.
http://dx.doi.org/10.1016/j.bmcl.2008.07.007

[19]. Groweiss, A.; Cardellins, J. H.; Boyd, M. R. J. Nat. Prod. 2000, 63, 1537.
http://dx.doi.org/10.1021/np000175m
PMid:11087602

[20]. Beecher, G. R. J. Nutr. 2003, 133, 3248-3254.

[21]. Hoult, J. R. S.; Moroney, M. A.; Paya, M. Methods Enzymol 1994, 234, 443-455.
http://dx.doi.org/10.1016/0076-6879(94)34115-X

[22]. Salem, M. A. I.; Hamed, A. A.; El-Shekeil, A. G.; Babaqui, A. S.; Madkour, H. M. F. J. Chem. Soc. Pak. 1992, 14(1), 24-34.

[23]. Salem, M. A. I.; Hamed, A. A.; El-Shekeil, A. G.; Babaqui, A. S.; Madkour, H. M. F. J. Chem. Soc. Pak. 1990, 12(3), 189-200.

[24]. Hamed, A. A.; Madkour, H. M. F.; Al-Nuaimi, I. S.; Hussain, B. A. Anales De Quimica de la Sociedad Espanola de Quimica (An Quim) 1994, 90(5-6), 359-364.

[25]. Weast, R. C. (Eds.). Handbook of Chemistry and Physics. 60th ed. Boca Raton, Florida: CRC Press Inc., 1979., pp. C-189.

[26]. Grayer, R. J.; Harbone, J. B. Phytochemistry 1994, 37, 19-42.
http://dx.doi.org/10.1016/0031-9422(94)85005-4

[27]. Irob, O. N.; Moo-young, M.; Anderson, W. A. Int. J. Pharmacog. 1996, 34, 87-90.
http://dx.doi.org/10.1076/phbi.34.2.87.13201

[28]. Jawetz, E.; Melnick, J. L.; Adelberg, E. A. Lang Medical publication, Los Altos, California 1974.

[29]. Muanza, D. N.; Kim, B. W.; Euler, K. L.; Williams, L. Int. J. Pharmacog. 1994, 32, 337-345.
http://dx.doi.org/10.3109/13880209409083012

[30]. El-Shaaer, H. M.; Perjessy, A.; Zahradnik, P.; Lacova, M.; Sustekova, Z. Monatsh. Chem. 1993, 124, 539-548.
http://dx.doi.org/10.1007/BF00819522

[31]. Jones, W. D. J. Chem. Soc. Perkin Trans 1 1981, 342-344.

[32]. Gasparova, R.; Lacova, M. Collect. Czech. Chem. Commun. 1995, 60(7), 1178-1185.
http://dx.doi.org/10.1135/cccc19951178

[33]. Rao, K. V. Ind. Eng. Chem. Res. 2002, 41, 3333-3334
http://dx.doi.org/10.1021/ie010771r

[34]. Ibrahim, S. S.; El-Shaaer, H. M.; Hassan, A. Phosphorus Sulfur Silicon Relat. Elem. 2002, 177, 151-159.
http://dx.doi.org/10.1080/10426500210228

[35]. Sayeed, A. A.; Sami, S. M.; Ibrahim, S. S. Egypt J. Chem. 1977, 20, 225-233.

[36]. Budzisz, E.; Malecka, M.; Nawrot, B. Tetrahedron 2004, 60, 1749-1759.
http://dx.doi.org/10.1016/j.tet.2003.12.044

[37]. Schonberg, A.; Singer, E.; Sidky, M. M. Chem. Ber. 1961, 94, 660-668.
http://dx.doi.org/10.1002/cber.19610940313

[38]. Kiichi, I.; Nakajima, K. J. Heterocycl. Chem. 1988, 25(2), 511-515.
http://dx.doi.org/10.1002/jhet.5570250229

[39]. Kaleta, Z.; Makowski, B. T.; Soos, T.; Dembinski, R. Org. Lett. 2006, 8, 1625-1628.
http://dx.doi.org/10.1021/ol060208a
PMid:16597126

[40]. Varma, R. S.; Kumar, D. Org. Lett. 1999, 1, 697-700.
http://dx.doi.org/10.1021/ol990629a
PMid:16118866

Supporting Agencies

Department of Chemistry, Faculty of Science, Ain Shams University, Egypt
Most read articles by the same author(s)

Most read articles by the same author(s)

TrendMD

Dimensions - Altmetric - scite_ - PlumX

Downloads and views

Downloads

Download data is not yet available.

Metrics

Metrics Loading ...
License Terms

License Terms

by-nc

Copyright © 2026 by Authors. This work is published and licensed by Atlanta Publishing House LLC, Atlanta, GA, USA. The full terms of this license are available at https://www.eurjchem.com/index.php/eurjchem/terms and incorporate the Creative Commons Attribution-Non Commercial (CC BY NC) (International, v4.0) License (http://creativecommons.org/licenses/by-nc/4.0). By accessing the work, you hereby accept the Terms. This is an open access article distributed under the terms and conditions of the CC BY NC License, which permits unrestricted non-commercial use, distribution, and reproduction in any medium, provided the original work is properly cited without any further permission from Atlanta Publishing House LLC (European Journal of Chemistry). No use, distribution, or reproduction is permitted which does not comply with these terms. Permissions for commercial use of this work beyond the scope of the License (https://www.eurjchem.com/index.php/eurjchem/terms) are administered by Atlanta Publishing House LLC (European Journal of Chemistry).